Введение в RNN Рекуррентные Нейронные Сети для начинающих

Рекуррентные Нейронные Сети

В данной статье мы рассмотрим, что такое рекуррентные нейронные сети и как создать нейронную сеть с нуля в Python.

Содержание

Рекуррентные нейронные сети (RNN) — это тип нейронных сетей, которые специализируются на обработке последовательностей. Зачастую их используют в таких задачах, как обработка естественного языка (Natural Language Processing) из-за их эффективности в анализе текста. В данной статье мы наглядно рассмотрим рекуррентные нейронные сети, поймем принцип их работы, а также создадим одну сеть в Python, используя numpy.

Данная статья подразумевает наличие у читателя базовых знаний о нейронных сетях. Будет не лишним прочитать от том как создать нейронную сеть в Python, в которой показаны простые примеры использования нейронов в Python.

Приступим!

Зачем нужны рекуррентные нейронные сети

Один из нюансов работы с нейронными сетями (а также CNN) заключается в том, что они работают с предварительно заданными параметрами. Они принимают входные данные с фиксированными размерами и выводят результат, который также является фиксированным. Плюс рекуррентных нейронных сетей, или RNN, в том, что они обеспечивают последовательности с вариативными длинами как для входа, так и для вывода. Вот несколько примеров того, как может выглядеть рекуррентная нейронная сеть:

Рекуррентные нейронные сети
Входные данные отмечены красным, нейронная сеть RNN — зеленым, а вывод — синим.

Способность обрабатывать последовательности делает рекуррентные нейронные сети RNN весьма полезными. Области использования:

  • Машинный перевод (пример Google Translate) выполняется при помощи нейронных сетей с принципом «многие ко многим». Оригинальная последовательность текста подается в рекуррентную нейронную сеть, которая затем создает переведенный текст в качестве результата вывода;
  • Анализ настроений часто выполняется при помощи рекуррентных нейронных сетей с принципом «многие к одному». Этот отзыв положительный или отрицательный? Такая постановка является одним из примеров анализа настроений. Анализируемый текст подается нейронную сеть, которая затем создает единственную классификацию вывода. Например — Этот отзыв положительный.

Есть вопросы по Python?

На нашем форуме вы можете задать любой вопрос и получить ответ от всего нашего сообщества!

Telegram Чат & Канал

Вступите в наш дружный чат по Python и начните общение с единомышленниками! Станьте частью большого сообщества!

Паблик VK

Одно из самых больших сообществ по Python в социальной сети ВК. Видео уроки и книги для вас!

Далее в статье будет показан пример создания рекуррентной нейронной сети по схеме «многие к одному» для анализа настроений.

Создание рекуррентной нейронной сети на примере

Представим, что у нас есть нейронная сеть, которая работает по принципу «многое ко многим«. Входные данные — x0, х1, … xn, а результаты вывода — y0, y1, … yn. Данные xi и yi являются векторами и могут быть произвольных размеров.

Рекуррентные нейронные сети RNN работают путем итерированного обновления скрытого состояния h, которое является вектором, что также может иметь произвольный размер. Стоит учитывать, что на любом заданном этапе t:

  1. Следующее скрытое состояние ht подсчитывается при помощи предыдущего ht - 1 и следующим вводом xt;
  2. Следующий вывод yt подсчитывается при помощи ht.

Рекуррентная нейронная сеть RNN многие ко многимРекуррентная нейронная сеть RNN многие ко многим

Вот что делает нейронную сеть рекуррентной: на каждом шаге она использует один и тот же вес. Говоря точнее, типичная классическая рекуррентная нейронная сеть использует только три набора параметров веса для выполнения требуемых подсчетов:

  • Wxh используется для всех связок xt → ht
  • Whh используется для всех связок ht-1 → ht
  • Why используется для всех связок ht → yt

Для рекуррентной нейронной сети мы также используем два смещения:

  • bh добавляется при подсчете ht
  • by добавляется при подсчете yt

Вес будет представлен как матрица, а смещение как вектор. В данном случае рекуррентная нейронная сеть состоит их трех параметров веса и двух смещений.

Следующие уравнения являются компактным представлением всего вышесказанного:

Создание рекуррентной нейронной сети
Разбор уравнений лучше не пропускать. Остановитесь на минутку и изучите их внимательно. Помните, что вес — это матрица, а другие переменные являются векторами.

Говоря о весе, мы используем матричное умножение, после чего векторы вносятся в конечный результат. Затем применяется гиперболическая функция в качестве функции активации первого уравнения. Стоит иметь в виду, что другие методы активации, например, сигмоиду, также можно использовать.

Не знаете, что такое функция активации? Вы можете ознакомиться с ними в вводной статье о нейронных сетях. Для оптимальной работы это важно.

Поставление задачи для рекуррентной нейронной сети

К текущему моменту мы смогли реализовать рекуррентную нейронную сеть RNN с нуля. Она должна выполнить простой анализ настроения. В дальнейшем примере мы попросим сеть определить, будет заданная строка нести позитивный или негативный характер.

Вот несколько примеров из небольшого набора данных, который был собран для данной статьи:

Текст Позитивный? 
Я хороший Да
Я плохой Нет
Это очень хорошо Да
Это неплохо Да
Я плохой, а не хороший Нет
Я несчастен Нет
Это было хорошо Да
Я чувствую себя неплохо, мне не грустно Да

Составление плана для нейронной сети

В следующем примере будет использована классификация рекуррентной сети «многие к одному». Принцип ее использования напоминает работу схемы «многие ко многим», что была описана ранее. Однако на этот раз будет задействовано только скрытое состояние для одного пункта вывода y:

RNN многие к одному
Рекуррентная нейронная сеть RNN многие к одному

Каждый xi будет вектором, представляющим определенное слово из текста. Вывод y будет вектором, содержащим два числа. Одно представляет позитивное настроение, а второе — негативное. Мы используем функцию Softmax, чтобы превратить эти значения в вероятности, и в конечном счете выберем между позитивным и негативным.

Приступим к созданию нашей рекуррентной нейронной сети.

Предварительная обработка рекуррентной нейронной сети RNN

Упомянутый ранее набор данных состоит из двух словарей Python:

True = Позитивное, False = Негативное

Для получения данных в удобном формате потребуется сделать определенную предварительную обработку. Для начала необходимо создать словарь в Python из всех слов, которые употребляются в наборе данных:

vocab теперь содержит список всех слов, которые употребляются как минимум в одном учебном тексте. Далее присвоим каждому слову из vocab индекс типа integer (целое число).

Теперь можно отобразить любое заданное слово при помощи индекса целого числа. Это очень важный пункт, так как:

Рекуррентная нейронная сеть не различает слов — только числа.

Напоследок напомним, что каждый ввод xi для рассматриваемой рекуррентной нейронной сети является вектором. Мы будем использовать веторы, которые представлены в виде унитарного кода. Единица в каждом векторе будет находиться в соответствующем целочисленном индексе слова.

Так как в словаре 18 уникальных слов, каждый xi будет 18-мерным унитарным вектором.

Мы используем createInputs() позже для создания входных данных в виде векторов и последующей их передачи в рекуррентную нейронную сеть RNN.

Фаза прямого распространения нейронной сети

Пришло время для создания рекуррентной нейронной сети. Начнем инициализацию с тремя параметрами веса и двумя смещениями.

Обратите внимание: для того, чтобы убрать внутреннюю вариативность весов, мы делим на 1000. Это не самый лучший способ инициализации весов, но он довольно простой, подойдет для новичков и неплохо работает для данного примера.

Для инициализации веса из стандартного нормального распределения мы используем np.random.randn().

Затем мы реализуем прямую передачу рассматриваемой нейронной сети. Помните первые два уравнения, рассматриваемые ранее?

Создание рекуррентной нейронной сети

Эти же уравнения, реализованные в коде:

Довольно просто, не так ли? Обратите внимание на то, что мы инициализировали h для нулевого вектора в первом шаге, так как у нас нет предыдущего h, который теперь можно использовать.

Давайте попробуем следующее:

Наша рекуррентная нейронная сеть работает, однако ее с трудом можно назвать полезной. Давайте исправим этот недочет.

Фаза обратного распространения нейронной сети

Для тренировки рекуррентной нейронной сети будет использована функция потери. Здесь будет использована потеря перекрестной энтропии, которая в большинстве случаев совместима с функцией Softmax. Формула для подсчета:

потеря перекрестной энтропии

Здесь pc является предсказуемой вероятностью рекуррентной нейронной сети для класса correct (позитивный или негативный). Например, если позитивный текст предсказывается рекуррентной нейронной сетью как позитивный текст на 90%, то потеря составит:

Формула потери рекуррентной сети

При наличии параметров потери можно натренировать нейронную сеть таким образом, чтобы она использовала градиентный спуск для минимизации потерь. Следовательно, здесь понадобятся градиенты.

Обратите внимание: следующий раздел подразумевает наличие у читателя базовых знаний об многовариантном исчислении. Вы можете пропустить несколько абзацев, однако мы рекомендуем все пробежаться по ним глазами. По мере получения новых данных код будет дополняться, и объяснения станут понятнее.

Оригиналы всех кодов, которые использованы в данной инструкции, доступны на GitHub.

Готовы? Продолжим!

Параметры рассматриваемой нейронной сети

Параметры данных, которые будут использованы в дальнейшем:

  • y — необработанные входные данные нейронной сети;
  • р — конечная вероятность: р = softmax(y);
  • с — истинная метка определенного образца текста, так называемый «правильный» класс;
  • L — потеря перекрестной энтропии: L = -ln(pc);
  • Wxh, Whh и Why — три матрицы веса в рассматриваемой нейронной сети;
  • bh и by — два вектора смещения в рассматриваемой рекуррентной нейронной сети RNN.

Установка

Следующим шагом будет настройка фазы прямого распространения. Это необходимо для кеширования отдельных данных, которые будут использоваться в фазе обратного распространения нейронной сети. Параллельно с этим можно будет установить основной скелет для фазы обратного распространения. Это будет выглядеть следующим образом:

Градиенты

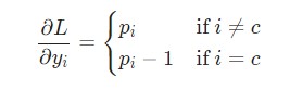
Настало время математики! Начнем с вычисления RNN градиенты формулы. Что нам известно:

Потеря перекрестной энтропии

Здесь используется фактическое значение RNN градиенты формулы, а также применяется дифференцирование сложной функции. Результат следующий:

RNN градиенты формулы

К примеру, если p = [0.2, 0.2, 0.6], а корректным классом является с = 0, то конечным результатом будет значение RNN градиенты формулы = [-0.8, 0.2, 0.6]. Данное выражение несложно перевести в код:

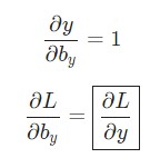
Отлично. Теперь разберемся с градиентами для Why и by, которые используются только для перехода конечного скрытого состояния в результат вывода рассматриваемой нейронной сети RNN. Используем следующие данные:

Градиенты нейронной сети

Здесь hn является конечным скрытым состоянием. Таким образом:

Градиенты нейронной сети формулы

Аналогичным способом вычисляем:

Градиенты RNN

Теперь можно приступить к реализации backprop().​

Напоминание: мы создали self.last_hs в forward() в предыдущих примерах.

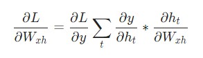
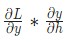
Наконец, нам понадобятся градиенты для Whh, Wxh, и bh, которые использовались в каждом шаге нейронной сети. У нас есть:

Градиенты RNN формулы

Изменение Wxh влияет не только на каждый ht, но и на все у , что, в свою очередь, приводит к изменениям в L. Для того, чтобы полностью подсчитать градиент Wxh, необходимо провести обратное распространение через все временные шаги. Его также называют Обратным распространением во времени, или Backpropagation Through Time (BPTT):

Backpropagation Through TimeОбратное распространение во времени

Wxh используется для всех прямых ссылок xt → ht, поэтому нам нужно провести обратное распространение назад к каждой из этих ссылок.

Приблизившись к заданному шагу t, потребуется подсчитать Градиенты нейронной сети формулы:

Градиенты RNN

Производная гиперболической функции tanh нам уже известна:

Производная гиперболической функции

Используем дифференцирование сложной функции, или цепное правило:

цепное правило

Аналогичным способом вычисляем:

Цепное правило формулы

Последнее нужное значение — Цепное правило функция. Его можно подсчитать рекурсивно:

Градиенты нейронной сети

Реализуем обратное распространение во времени, или BPTT, отталкиваясь от скрытого состояния в качестве начальной точки. Далее будем работать в обратном порядке. Поэтому на момент подсчета Цепное правило функция значение Градиенты нейронной сети будет известно. Исключением станет только последнее скрытое состояние hn:

Скрытое состояние нейронные сети

Теперь у нас есть все необходимое, чтобы наконец реализовать обратное распространение во времени ВРТТ и закончить backprop():

Моменты, на которые стоит обратить внимание:

  • Мы объединили Градиенты нейронной сети в Градиенты нейронной сети для удобства;
  • Мы постоянно обновляем переменную d_h, которая держит самую последнюю версию Градиенты нейронной сети, что требуется для подсчета Градиенты нейронной сети;
  • Закончив с обратным распространением во времени ВРТТ, мы используем np.clip() на значениях градиента ниже -1 или выше 1. Это поможет избавиться от проблемы со взрывными градиентами. Такое случается, когда градиенты становятся слишком большими из-за огромного количества умноженных параметров. Взрыв, а также исчезновение градиентов не считается редкостью для классических рекуррентных нейронных сетей. Более сложные рекуррентные нейронные сети, например LSTM, лучше подойдут для их обработки.
  • Когда все градиенты подсчитаны, мы обновляем параметры веса и смещения, используя градиентный спуск.

Мы сделали это! Наша рекуррентная нейронная сеть готова.

Тестирование рекуррентной нейронной сети

Наконец настал тот момент, которого мы так долго ждали — протестируем готовую рекуррентную нейронную сеть.

Для начала, напишем вспомогательную функцию для обработки данных рассматриваемой рекуррентной нейронной сети:

Теперь можно написать цикл для тренировки сети:

Результат вывода main.py выглядит следующим образом:

Неплохо для рекуррентной нейронной сети, которую мы построили сами!

Хотите поэкспериментировать с этим кодом сами? Можете запустить данную рекуррентную нейронную сеть RNN у себя в браузере. Она также доступна на GitHub.

Подведем итоги

Вот и все, пошаговое руководство по рекуррентным нейронным сетям на этом закончено. Мы узнали, что такое RNN, как они работают, почему они полезны, как их создавать и тренировать. Это очень малый аспект мира нейронных сетей. При желании вы можете продолжить изучение темы самостоятельно, используя следующие ресурсы:

  • Подробнее ознакомьтесь с LTSM. Это долгая краткосрочная память, которая характерна более мощной архитектурой рекуррентных нейронных сетей. Будет не лишним ознакомиться с управляемым рекуррентными блоками, или GRU. Это наиболее популярная вариация LTSM;
  • Поэкспериментируйте с более крупными и сложными RNN. Для этого используйте подходящие ML библиотеки, например, Tensorflow, Keras или PyTorch;
  • Прочтите о двунаправленных нейронных сетях, которые обрабатывают последовательности как в прямом, так и в обратном направлении. Это позволяет получить больше информации на уровне вывода;
  • Ознакомьтесь с векторными представлением слов. Для этого можно использовать GloVe или Word2Vec;
  • Познакомьтесь поближе с Natural Language Toolkit (NLTK), популярной библиотекой Python для работы с данными на языках, которые используют люди, а не машины.

Благодарим за внимание!