This folder contains benchmarks to measure the performance of the Node.js APIs.
- Prerequisites
- Running benchmarks
- Running individual benchmarks
- Running all benchmarks
- Comparing node versions
- Comparing parameters
- Creating a benchmark
Most of the HTTP benchmarks require a benchmarker to be installed, this can be
either wrk or autocannon.
Autocannon is a Node script that can be installed using
npm install -g autocannon. It will use the Node executable that is in the
path, hence if you want to compare two HTTP benchmark runs make sure that the
Node version in the path is not altered.
wrk may be available through your preferred package manger. If not, you can
easily build it from source via make.
By default wrk will be used as benchmarker. If it is not available
autocannon will be used in it its place. When creating a HTTP benchmark you
can specify which benchmarker should be used. You can force a specific
benchmarker to be used by providing it as an argument, e. g.:
node benchmark/run.js --set benchmarker=autocannon http
node benchmark/http/simple.js benchmarker=autocannon
Basic Unix tools are required for some benchmarks.
Git for Windows includes Git Bash and the necessary tools,
which need to be included in the global Windows PATH.
To analyze the results R should be installed. Check you package manager or
download it from https://www.r-project.org/.
The R packages ggplot2 and plyr are also used and can be installed using
the R REPL.
$ R
install.packages("ggplot2")
install.packages("plyr")In the event you get a message that you need to select a CRAN mirror first.
You can specify a mirror by adding in the repo parameter.
If we used the "http://cran.us.r-project.org" mirror, it could look somehting like this:
install.packages("ggplot2", repo="http://cran.us.r-project.org")Of course, use the mirror that suits your location. A list of mirrors is located here.
This can be useful for debugging a benchmark or doing a quick performance measure. But it does not provide the statistical information to make any conclusions about the performance.
Individual benchmarks can be executed by simply executing the benchmark script with node.
$ node benchmark/buffers/buffer-tostring.js
buffers/buffer-tostring.js n=10000000 len=0 arg=true: 62710590.393305704
buffers/buffer-tostring.js n=10000000 len=1 arg=true: 9178624.591787899
buffers/buffer-tostring.js n=10000000 len=64 arg=true: 7658962.8891432695
buffers/buffer-tostring.js n=10000000 len=1024 arg=true: 4136904.4060201733
buffers/buffer-tostring.js n=10000000 len=0 arg=false: 22974354.231509723
buffers/buffer-tostring.js n=10000000 len=1 arg=false: 11485945.656765845
buffers/buffer-tostring.js n=10000000 len=64 arg=false: 8718280.70650129
buffers/buffer-tostring.js n=10000000 len=1024 arg=false: 4103857.0726124765Each line represents a single benchmark with parameters specified as
${variable}=${value}. Each configuration combination is executed in a separate
process. This ensures that benchmark results aren't affected by the execution
order due to v8 optimizations. The last number is the rate of operations
measured in ops/sec (higher is better).
Furthermore you can specify a subset of the configurations, by setting them in the process arguments:
$ node benchmark/buffers/buffer-tostring.js len=1024
buffers/buffer-tostring.js n=10000000 len=1024 arg=true: 3498295.68561504
buffers/buffer-tostring.js n=10000000 len=1024 arg=false: 3783071.1678948295Similar to running individual benchmarks, a group of benchmarks can be executed
by using the run.js tool. Again this does not provide the statistical
information to make any conclusions.
$ node benchmark/run.js arrays
arrays/var-int.js
arrays/var-int.js n=25 type=Array: 71.90148040747789
arrays/var-int.js n=25 type=Buffer: 92.89648382795582
...
arrays/zero-float.js
arrays/zero-float.js n=25 type=Array: 75.46208316171496
arrays/zero-float.js n=25 type=Buffer: 101.62785630273159
...
arrays/zero-int.js
arrays/zero-int.js n=25 type=Array: 72.31023859816062
arrays/zero-int.js n=25 type=Buffer: 90.49906662339653
...It is possible to execute more groups by adding extra process arguments.
$ node benchmark/run.js arrays buffersTo compare the effect of a new node version use the compare.js tool. This
will run each benchmark multiple times, making it possible to calculate
statistics on the performance measures.
As an example on how to check for a possible performance improvement, the
#5134 pull request will be used as
an example. This pull request claims to improve the performance of the
string_decoder module.
First build two versions of node, one from the master branch (here called
./node-master) and another with the pull request applied (here called
./node-pr-5135).
The compare.js tool will then produce a csv file with the benchmark results.
$ node benchmark/compare.js --old ./node-master --new ./node-pr-5134 string_decoder > compare-pr-5134.csvFor analysing the benchmark results use the compare.R tool.
$ cat compare-pr-5134.csv | Rscript benchmark/compare.R
improvement significant p.value
string_decoder/string-decoder.js n=250000 chunk=1024 inlen=1024 encoding=ascii 12.46 % *** 1.165345e-04
string_decoder/string-decoder.js n=250000 chunk=1024 inlen=1024 encoding=base64-ascii 24.70 % *** 1.820615e-15
string_decoder/string-decoder.js n=250000 chunk=1024 inlen=1024 encoding=base64-utf8 23.60 % *** 2.105625e-12
string_decoder/string-decoder.js n=250000 chunk=1024 inlen=1024 encoding=utf8 14.04 % *** 1.291105e-07
string_decoder/string-decoder.js n=250000 chunk=1024 inlen=128 encoding=ascii 6.70 % * 2.928003e-02
...In the output, improvement is the relative improvement of the new version,
hopefully this is positive. significant tells if there is enough
statistical evidence to validate the improvement. If there is enough evidence
then there will be at least one star (*), more stars is just better. However
if there are no stars, then you shouldn't make any conclusions based on the
improvement. Sometimes this is fine, for example if you are expecting there
to be no improvements, then there shouldn't be any stars.
A word of caution: Statistics is not a foolproof tool. If a benchmark shows
a statistical significant difference, there is a 5% risk that this
difference doesn't actually exists. For a single benchmark this is not an
issue. But when considering 20 benchmarks it's normal that one of them
will show significance, when it shouldn't. A possible solution is to instead
consider at least two stars (**) as the threshold, in that case the risk
is 1%. If three stars (***) is considered the risk is 0.1%. However this
may require more runs to obtain (can be set with --runs).
For the statistically minded, the R script performs an independent/unpaired
2-group t-test, with the null hypothesis that the performance is the
same for both versions. The significant field will show a star if the p-value
is less than 0.05.
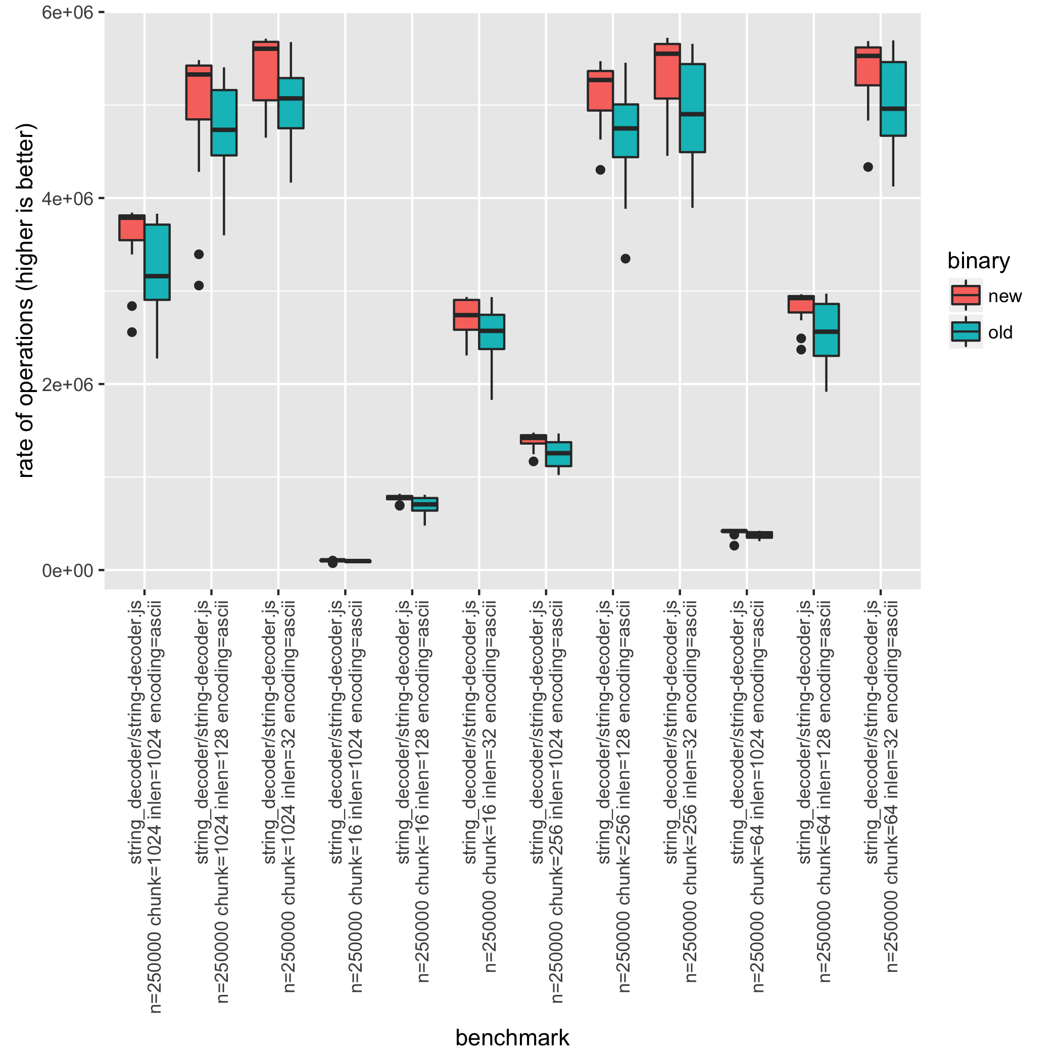
The compare.R tool can also produce a box plot by using the --plot filename
option. In this case there are 48 different benchmark combinations, thus you
may want to filter the csv file. This can be done while benchmarking using the
--set parameter (e.g. --set encoding=ascii) or by filtering results
afterwards using tools such as sed or grep. In the sed case be sure to
keep the first line since that contains the header information.
$ cat compare-pr-5134.csv | sed '1p;/encoding=ascii/!d' | Rscript benchmark/compare.R --plot compare-plot.png
improvement significant p.value
string_decoder/string-decoder.js n=250000 chunk=1024 inlen=1024 encoding=ascii 12.46 % *** 1.165345e-04
string_decoder/string-decoder.js n=250000 chunk=1024 inlen=128 encoding=ascii 6.70 % * 2.928003e-02
string_decoder/string-decoder.js n=250000 chunk=1024 inlen=32 encoding=ascii 7.47 % *** 5.780583e-04
string_decoder/string-decoder.js n=250000 chunk=16 inlen=1024 encoding=ascii 8.94 % *** 1.788579e-04
string_decoder/string-decoder.js n=250000 chunk=16 inlen=128 encoding=ascii 10.54 % *** 4.016172e-05
...It can be useful to compare the performance for different parameters, for example to analyze the time complexity.
To do this use the scatter.js tool, this will run a benchmark multiple times
and generate a csv with the results.
$ node benchmark/scatter.js benchmark/string_decoder/string-decoder.js > scatter.csvAfter generating the csv, a comparison table can be created using the
scatter.R tool. Even more useful it creates an actual scatter plot when using
the --plot filename option.
$ cat scatter.csv | Rscript benchmark/scatter.R --xaxis chunk --category encoding --plot scatter-plot.png --log
aggregating variable: inlen
chunk encoding mean confidence.interval
16 ascii 1111933.3 221502.48
16 base64-ascii 167508.4 33116.09
16 base64-utf8 122666.6 25037.65
16 utf8 783254.8 159601.79
64 ascii 2623462.9 399791.36
64 base64-ascii 462008.3 85369.45
64 base64-utf8 420108.4 85612.05
64 utf8 1358327.5 235152.03
256 ascii 3730343.4 371530.47
256 base64-ascii 663281.2 80302.73
256 base64-utf8 632911.7 81393.07
256 utf8 1554216.9 236066.53
1024 ascii 4399282.0 186436.46
1024 base64-ascii 730426.6 63806.12
1024 base64-utf8 680954.3 68076.33
1024 utf8 1554832.5 237532.07Because the scatter plot can only show two variables (in this case chunk and
encoding) the rest is aggregated. Sometimes aggregating is a problem, this
can be solved by filtering. This can be done while benchmarking using the
--set parameter (e.g. --set encoding=ascii) or by filtering results
afterwards using tools such as sed or grep. In the sed case be
sure to keep the first line since that contains the header information.
$ cat scatter.csv | sed -E '1p;/([^,]+, ){3}128,/!d' | Rscript benchmark/scatter.R --xaxis chunk --category encoding --plot scatter-plot.png --log
chunk encoding mean confidence.interval
16 ascii 701285.96 21233.982
16 base64-ascii 107719.07 3339.439
16 base64-utf8 72966.95 2438.448
16 utf8 475340.84 17685.450
64 ascii 2554105.08 87067.132
64 base64-ascii 330120.32 8551.707
64 base64-utf8 249693.19 8990.493
64 utf8 1128671.90 48433.862
256 ascii 4841070.04 181620.768
256 base64-ascii 849545.53 29931.656
256 base64-utf8 809629.89 33773.496
256 utf8 1489525.15 49616.334
1024 ascii 4931512.12 165402.805
1024 base64-ascii 863933.22 27766.982
1024 base64-utf8 827093.97 24376.522
1024 utf8 1487176.43 50128.721All benchmarks use the require('../common.js') module. This contains the
createBenchmark(main, configs[, options]) method which will setup your
benchmark.
The arguments of createBenchmark are:
main{Function} The benchmark function, where the code running operations and controlling timers should goconfigs{Object} The benchmark parameters.createBenchmarkwill run all possible combinations of these parameters, unless specified otherwise. Each configuration is a property with an array of possible values. Note that the configuration values can only be strings or numbers.options{Object} The benchmark options. At the moment only theflagsoption for specifying command line flags is supported.
createBenchmark returns a bench object, which is used for timing
the runtime of the benchmark. Run bench.start() after the initialization
and bench.end(n) when the benchmark is done. n is the number of operations
you performed in the benchmark.
The benchmark script will be run twice:
The first pass will configure the benchmark with the combination of
parameters specified in configs, and WILL NOT run the main function.
In this pass, no flags except the ones directly passed via commands
that you run the benchmarks with will be used.
In the second pass, the main function will be run, and the process
will be launched with:
- The flags you've passed into
createBenchmark(the third argument) - The flags in the command that you run this benchmark with
Beware that any code outside the main function will be run twice
in different processes. This could be troublesome if the code
outside the main function has side effects. In general, prefer putting
the code inside the main function if it's more than just declaration.
'use strict';
const common = require('../common.js');
const SlowBuffer = require('buffer').SlowBuffer;
const configs = {
// Number of operations, specified here so they show up in the report.
// Most benchmarks just use one value for all runs.
n: [1024],
type: ['fast', 'slow'], // Custom configurations
size: [16, 128, 1024] // Custom configurations
};
const options = {
// Add --expose-internals if you want to require internal modules in main
flags: ['--zero-fill-buffers']
};
// main and configs are required, options is optional.
const bench = common.createBenchmark(main, configs, options);
// Note that any code outside main will be run twice,
// in different processes, with different command line arguments.
function main(conf) {
// You will only get the flags that you have passed to createBenchmark
// earlier when main is run. If you want to benchmark the internal modules,
// require them here. For example:
// const URL = require('internal/url').URL
// Start the timer
bench.start();
// Do operations here
const BufferConstructor = conf.type === 'fast' ? Buffer : SlowBuffer;
for (let i = 0; i < conf.n; i++) {
new BufferConstructor(conf.size);
}
// End the timer, pass in the number of operations
bench.end(conf.n);
}The bench object returned by createBenchmark implements
http(options, callback) method. It can be used to run external tool to
benchmark HTTP servers.
'use strict';
const common = require('../common.js');
const bench = common.createBenchmark(main, {
kb: [64, 128, 256, 1024],
connections: [100, 500]
});
function main(conf) {
const http = require('http');
const len = conf.kb * 1024;
const chunk = Buffer.alloc(len, 'x');
const server = http.createServer(function(req, res) {
res.end(chunk);
});
server.listen(common.PORT, function() {
bench.http({
connections: conf.connections,
}, function() {
server.close();
});
});
}Supported options keys are:
port- defaults tocommon.PORTpath- defaults to/connections- number of concurrent connections to use, defaults to 100duration- duration of the benchmark in seconds, defaults to 10benchmarker- benchmarker to use, defaults tocommon.default_http_benchmarker

